海洋中电磁场及MT方法原理介绍
《海鲜营养烹饪技法》:介绍海洋食材的营养和烹饪技巧 #生活技巧# #健康生活方式# #健康生活方式书籍# #营养烹饪书籍#
【摘要】:以下从场源特征、阻抗、海上数据采集、资料处理四个方面对MT方法原理进行介绍。在海底MT方法信号观测中,天然场源在海水中受趋肤效应影响,不同频率成分的信号受到不同程度的衰减。图5.2给出了趋肤效应示意图。图5.3MT信号场源图5.4场源信号衰减示意图图5.5给出了海平面、深水海底信号噪声功率谱密度及观测仪器本底噪声功率谱密度的对比图。更高精度的水下定位方案是在电磁接收机上加装USBL信标,其定位精度可达到斜距的0.2%。
从方法原理上看,海底MT测深方法与陆地上广泛应用的MT测深完全一样,只是观测技术与数据处理技术有所不同。海底MT测深是把仪器布设在海底,仪器自容式记录海底大地电磁场Ex、Ey、Hx、Hy、Hz五个分量的宽频带时间序列及仪器的方位角;观测一段时间(根据观测频段决定,通常1~2周)后将仪器打捞回收;之后下载数据经过傅里叶变换把时间序列数据转换到频率域,并估算其阻抗张量;分别计算出阻抗和相位的频率响应,用以反演计算研究海底以下不同深度的岩层导电性结构。以下从场源特征、阻抗、海上数据采集、资料处理四个方面对MT方法原理进行介绍。
1)场源特征

图5.2 趋肤深度示意图(0.3Ω·m海水均匀半空间,波长仅为示意,不是实际比例)
电磁波向导体内部透入时,因为能量损失而逐渐衰减。波幅衰减为表面波幅e-1倍的深度称为交变电磁场对导体的趋肤深度。在海底MT方法信号观测中,天然场源在海水中受趋肤效应影响,不同频率成分的信号受到不同程度的衰减。相比高频信号,低频信号幅值衰减程度低、趋肤深度大、穿透能力强。图5.2给出了趋肤效应示意图。对于0.3Ω·m的海水均匀半空间,100 Hz频点信号趋肤深度约为27 m,而0.01 Hz频点信号的趋肤深度约为2 700 m。
MT场源主要为太阳风对地球磁层扰动及高空雷电,如图5.3所示。太阳风的微粒具有相当高的导电能力,地球正常偶极子磁场不能穿透它而受到影响产生畸变,在导电的电离层形成很强的电流。雷电提供了高频场源,据统计,每秒大约有100个闪电发生在地球大气层中,所以也可看成连续的电磁场源。
良导的海水可视为一个低通滤波器,高频的电磁场信号衰减严重。图5.4给出了不同水深、不同频率时海底与水面信号的衰减程度。1 000 m水深时,10 Hz频点海底电磁场信号幅值相比水面衰减了近1 000倍。

图5.3 MT信号场源

图5.4 场源信号衰减示意图(图片源自Constable,1998)
图5.5给出了海平面、深水海底信号噪声功率谱密度及观测仪器本底噪声功率谱密度的对比图。对于电场而言,深水条件下高于0.1 Hz频段的噪声强于信号,无法获得有效数据。观测仪器的本底噪声必须低于有用信号的功率谱密度,才能获得保证原始数据的信噪比。

图5.5 MT场源信号功率谱密度图(灰线为仪器本底噪声水平,图片源自Key,1998)
在研究海底MT场源特征时,环境干扰电磁噪声同样值得关注。海底MT的噪声来源主要分为运动海水感应电磁噪声、近岸人文干扰、附近船舶及生物噪声、仪器自身噪声。图5.6给出了运动海水的感应电磁噪声能量分布,其中以100~1 s频率范围内噪声严重。

图5.6 运动海水电磁噪声能量分布图(图片源自Kinsman,1965)
2)阻抗
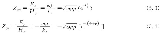
引入波阻抗来研究电阻率和海底所测电磁场之间的关系。波阻抗Z可表示为电场水平分量E和磁场水平分量H之间的比值,其单位为Ω,它们之间的关系为

在一维、二维情况下,电磁场可以分为E偏振和H偏振,两个正交测量轴上的波阻抗可表示如下:

在均匀各向同性介质中,电场和磁场是相互正交的,故而在地面任意方位的正交测量轴上测得的波阻抗都相等,即均匀各向同性介质中波阻抗是与测量轴方位无关的标量,称为标量阻抗,此时的波阻抗Zxy和Zyx振幅相同而相位不同,电场与磁场的相位差为45°或者-135°。对于一维模型,在均匀各向同性介质中,波阻抗是标量:(https://www.daowen.com)

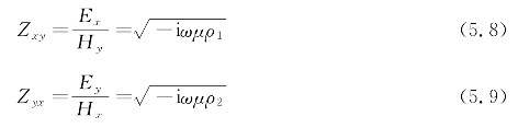
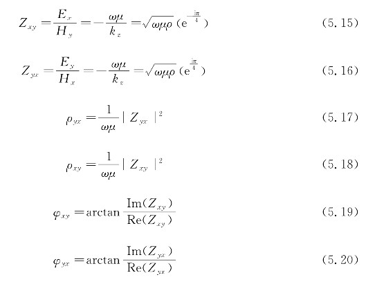
对于二维介质,电磁场可以沿着电性主轴(如构造走向和倾向,且电阻率分别为ρ1和ρ2)分解为两组互相独立的线性偏振波,这两组线性偏振波就像分别在电阻率为ρ1和ρ2的均匀各向同性介质中传播一样,相应波阻抗为


对于三维介质,

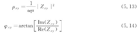
通过波阻抗定义,可以得到视电阻率和波阻抗的关系,卡尼亚视电阻率及相位计算公式为

3)海上数据采集

图5.7 海底MT接收机实物图
根据勘探目标收集相关地质地球物理资料后,合理设计测线和测点,由多台海底电磁接收机开展海底MT数据采集工作,按照设计好的测线和测站坐标,逐点“投放”仪器,在海底布设MT测深剖面。在仪器到达海底后,通常还需借助水声定位设备对海底的仪器进行水下定位,以获取仪器在海底的准确位置。海底电磁接收机按预先设计的采样率观测,自容式采集三个正交分量磁场和两个正交分量电场。仪器在海底工作数天至数月后回收,仪器回收后及时下载数据,整理原始班报以便进行后续处理。图5.7为中国地质大学(北京)开发的海底电磁接收机,用于海底MT或CSEM海上数据采集。
理论研究结果表明,海底MT场源的磁场分量随空间位置变化比较平稳,因而在一定范围内不同测点之间磁场分量变化所引起的观测误差可以忽略。考虑到海底施工存在较大风险,同时也考虑提高海上作业效率、降低成本,海底MT观测通常采用阵列式观测方法,即使用一个采集电磁场五分量的“基站”带若干个二分量电场的海底电场接收机组成观测系统,采用多个观测系统沿测线依次排列的布置方式。为了抑制磁场不相关噪声,提高阻抗估算精度,有时需要布设陆地远参考站,另外海底MT数据采集还需要解决方位测量、时漂校准、水下定位等问题。
海底电磁接收机内置姿态测量模块,获取电极及磁传感器的方位角,用于后期数据校正;仪器在水下工作一周至数月不等,由于时钟误差导致多台接收机之间的时间序列存在偏差,需要借助GPS进行校钟以减少时漂导致的资料处理误差,一般采用时钟误差线性补偿;水下定位方案之一是采用伪斜距定位,即测量多次处于不同位置时水面作业船位置处的水深及其与海底仪器的距离,再估算仪器的海底坐标位置,该方案适合未安装超短基线USBL信标的作业船只,其定位精度差且耗费船时,仅适用于站间距较大对定位误差要求不高的情况。更高精度的水下定位方案是在电磁接收机上加装USBL信标,其定位精度可达到斜距的0.2%。
4)资料处理
海底MT测深数据处理的基本流程与陆地MT测深数据处理基本上是一致的。但是由于海底大地电磁仪器是以自由沉放的方法放置在海底,因而各个测站仪器测量系统的坐标系并不统一,同时也很难保证测量系统保持水平状态。所以在对采集数据进行常规处理之前,必须进行方位和水平状态的畸变校正。另外由于海水始终处于复杂的运动状态,其运动形式包括波浪、涌浪、潮波、海流等,海水运动切割地磁场产生的感应电磁场具有频带宽、幅值强的特点。因此实测的海底MT数据中包含了运动海水电磁噪声的干扰。这一干扰较强,处理海底MT测深数据前有必要进行运动海水电磁噪声干扰的压制。通常可以采用相关滤波的方法从实测海底MT信号中剔除运动海水电磁噪声。
对实测的海底MT数据进行上述校正与降噪处理后,再进行常规处理,从而获得各海底测点的大地电磁阻抗资料,并由以下公式计算视电阻率与相位ρxy、ρyx、φxy、φyx:

图5.8为常规MT数据处理流程图。从图中可以看到,MT数据处理流程主要分为时间序列分析、频谱估计、功率谱计算、张量阻抗估算及视电阻率与相位求取。

图5.8 海底MT资料处理流程
网址:海洋中电磁场及MT方法原理介绍 https://www.yuejiaxmz.com/news/view/1398648
相关内容
海洋中的电磁场及其应用海底电磁接收机新进展
海洋科普(1667)| 海洋电磁场面面观
磁力吸盘工作原理介绍 使用方法
海洋论坛 | 海洋磁力测量技术应用及发展现状
MT 管理器电脑版
电磁吸盘的工作原理及无磁力的解决方法
磁化净水器有用吗 磁化水净水器工作原理介绍
解密半球电磁炉E5的工作原理与使用方法(半球电磁炉E5的特点及烹饪技巧)
海尔洗衣机省电的方法介绍

