智能家居网络能效优化
智能家居家庭网络优化策略 #生活技巧# #居家生活技巧# #家居保养技巧# #智能家居使用#
智能家居网络中面向能量与连通性的节点流量分布资源优化
摘要
智能家居网络是指建筑物内住宅或一组公寓中相互连接的设备和传感器所构成的网络。预计在智能家居网络中,大量传感器和接入点(APs)将被集成使用,以实现家庭和建筑物中的必要功能。在此背景下,能量优化和提供网络连接性在实现智能家居网络目标方面具有极其重要的作用。本文研究了在考虑节点平均能耗以及全网覆盖与连接性联合约束的前提下,如何更优地管理智能家居网络中可用接入点之间传感器节点流量分布的最优措施。具体而言,我们考虑了一个典型的智能家居网络场景,其中多个传感器节点和接入点分布在网络区域内,传感器可自由选择任意相邻接入点进行数据通信,从而更好地提升网络的能效和连通性。据此,我们对传感器节点的平均电池消耗以及接入点的能耗施加约束,以提高智能家居网络的能效和寿命。此外,还引入额外约束以确保所提出智能家居网络具备必要的全覆盖和网络连通性。
基于此,我们为典型智能家居网络建立了一个成本模型,并构建一个优化问题,旨在最小化网络成本的同时,满足传感器节点和接入点的能耗、覆盖与连接性等方面的上述约束。最后,讨论了在智能家居网络中使用所提优化问题的优势,并提供了针对不同运行场景的数值结果和比较分析。
索引术语
智能家居网络;能量优化;软件定义网络;覆盖与连接性;拉格朗日分解法。
一、引言
物联网 (IoT) 和智慧城市应用情景正在迅速兴起,人们对在智慧城市概念中使用信息与通信技术 (ICT) 解决方案表现出极大的兴趣 [1]–[3]。在这方面,智能家居是一项关键技术,预计将显著改变人们的生活方式,并在工业层面引起广泛关注 [4]。近年来,工业界设计了各种智能设备和传感器,并使其易于被大众获取。因此,智能家居应用在当今时代正变得比以往任何时候都更加普及 [5]。
智能家居是配备了各种设备和传感器的住宅和建筑物,这些设备和传感器相互协调,为家庭用户提供一系列智能化便利[6],[7]。从技术角度来看,智能家居网络是指住宅或建筑内一组公寓中的互联设备和传感器所构成的网络,可用于控制和优化住宅或建筑的功能,例如照明和安全[6]。预计在智能家居网络中将使用大量设备和传感器。此外,网络连接在智能网络中具有至关重要的作用,以更好地实现其功能,并进一步使这些网络能够访问云及其优势[8]。随着住宅和建筑环境变得越来越智能,智能家居网络中的服务会产生更加复杂的通信。因此,考虑到智能家居网络中资源之间的相互关联性——从智能设备和通信网络资源到服务提供商资源——高效的资源管理在智能家居网络系统中显得尤为重要[9]。这一点在智能家居场景中尤为突出,可显著节约住宅和商业建筑(如学校和医院)中的大量能量[10],[11]。
因此,智能家居网络必须充分利用多种广域网资源,并采用先进的技术,能够在同一组传感器和网络资源上提供多种流量管理解决方案[12]。在这方面,OpenFlow软件定义网络(SDN)是为智能家居网络提供自适应流控和灵活资源管理的最佳技术之一。SDN技术通过将控制平面与转发平面分离来管理网络。实际上,在支持OpenFlow SDN的网络中,OpenFlow控制器负责做出流量管理决策,并直接与路由器和交换机等网络设备的转发平面进行交互。关于在智能家居网络中应用OpenFlow SDN方法的优势已在[13]中讨论。
此外,智能家居网络中使用了各种类型的设备和传感器来监控和控制居住生活及物理环境。通常,在智能建筑中,与每个公寓或区域相关的智能节点(即设备和传感器)被组织成簇,并且每个簇设置一个接入点(AP)作为簇头。来自节点的数据在相应的接入点处被收集,然后中继并发送到应用服务器或存储在云网络中。在某些情况下,为了提高网络的能效,接入点(AP)会进一步处理从每个簇收集的数据,然后将处理后的数据转发到网络 [14],[15]。一般来说,智能家居应用中的传感器能量供应有限,通常由电池提供,并且由于家庭建筑限制,设备和传感器在家用环境中无法高效布置。当考虑到传感网络需要长时间保持正常运行时,这一问题尤为关键。因此,提出适当的技术以提高节点的节能效果并延长智能家居网络生命周期也是一个重要课题。
另一方面,网络连接和资源管理是智能建筑以及更大范围的智慧城市中的另外两个重要挑战[16]。关于网络连接,尽管存在日益增多的多样性
在智慧城市中,家庭可使用的应用程序和服务类型日益丰富,因此全面的网络连接和覆盖至关重要,这对于向智慧城市居民提供智能服务发挥着重要作用[16],[17]。在此背景下,必须考虑智慧城市的住宅和建筑物在结构上的多样性,以及其中部署的多种类型的智能节点和接入点,每个节点或接入点可能采用不同的无线技术运行[18]。在资源管理方面,考虑到大量智能设备与接入点之间的通信以及网络内部交换的海量流量,智能家居网络可能变得极为密集,存在过度使用电力、带宽等各类网络资源的风险[19],[20]。在此背景下,资源管理能够显著提升智能家居网络的性能效率。
我们考虑一种典型的智能家居网络场景,其中包含多个传感器节点,这些节点根据其组兴趣进行聚类,例如与某个公寓或服务提供商公司相关的节点。然后,基于每个簇内传感器节点的数量和分布情况,为每个簇设置一个接入点,以将该簇内的节点连接到整个网络。通常,每个簇中的接入点可位于传感器节点主要数量附近,以便更有效地收集数据。然而,尽管所有传感器节点均可访问接入点以交换数据,但距离接入点较远的节点在传输数据时会消耗更多能量,因此其电池寿命较短。
此外,值得注意的是,这种对传感器节点进行聚类和服务的方式通常并不是最优的解决方案。实际上,如果根据传感器节点的形式归属(例如同一公寓或服务提供商)来进行聚类,通常需要消耗大量的能量和网络资源来连接多个局域网(LAN)内部及之间的用户。特别是考虑到资源效率与管理在SDN网络中的概念以及虚拟网络技术的最新进展 [12],[21],这种方法显得尤为简单化。结合网络虚拟化和SDN技术的概念,在由基础设施提供商(InPs)管理和维护网络物理基础设施的同时,多个服务提供商(SePs)能够通过聚合和共享来自多个InPs的资源来创建虚拟网络,并以最优方式利用网络资源提供相应的网络服务[22],[23]。在此背景下
在智能家居网络中,可以利用OpenFlow软件定义网络技术来消除节点只能连接到预定接入点的经典约束,转而允许它们在其邻近区域内选择最佳的接入点,从而提升性能。图1展示了智能家居网络中OpenFlow软件定义网络概念的典型模型。如图所示,OpenFlow控制器负责通过自适应地修改OpenFlow交换机中的流表,来协调与每个家庭网络相关的传感器信息流。
本文考虑了一种典型的智能家居网络场景,其中多个传感器节点和接入点分布在网络区域内,每个接入点可以自由地为任意传感器节点提供服务,而不受其归属关系的限制。我们进一步考虑了传感器节点的平均寿命以及接入点处的能量消耗约束,以提高智能家居网络的能效和寿命。此外,为了保证必要的完整网络连通性和覆盖范围,设计了一个约束条件,以满足所提出的智能家居网络中节点与接入点之间的连通性和覆盖需求。在此基础上,利用拉格朗日分解法,我们研究了在遵守上述约束的前提下,可更优地管理智能家居网络中可用接入点之间节点流量分布的最优措施。
具体而言,我们为典型的智能家居网络建立了一个成本模型,并构建了一个优化问题,旨在最小化网络成本,同时考虑传感器节点和接入点的能耗约束,并满足网络中的连通性和覆盖要求。针对网络覆盖区域内传感器节点和接入点密度给定的情况,我们提出了一种算法,用于计算在网络运行周期内传感器节点所需的平均电池电量以及接入点能耗的平均阈值的最优值。此外,当传感器节点数量非常多时,我们得到了传感器所需平均电池电量以及接入点能耗平均阈值的闭式表达式。最后,通过仿真验证了我们的理论结果,展示了所提出的优化方法在智能家居网络中的有效性,并量化了其在不同运行场景和条件下的优势。
本文的结构如下。在第二节中,提到了最近关于智能家居网络中资源优化和管理的相关工作,以更好地阐明本文的贡献。第三节介绍了我们的智能家居网络系统模型和系统约束。第四节描述了考虑上述约束的所提出的优化问题。
II. 相关工作
已有大量研究探讨了智能家居网络中的资源优化与网络连通性问题。在这方面,文献[8]提出了一种基于云的基础设施方法,其中位于云中的集中式控制器将做出决策并向智慧城市网络中的智能节点发出指令,以实现最优的资源管理。文献[6],提出了一种分布式智能家居控制系统,旨在提高智能家居网络中的能效和资源管理能力。特别是,所提出的控制系统通过引入智能家居接口,支持不同厂商的电气设备(如传感器和接入点节点)在网络中的操作,从而降低系统复杂性。文献[24],提出了一种基于远距离无线电链路的低功耗广域网,以提升智慧城市网络的连通性。文献 [25],研究了一种高性价比覆盖模型,用于异构传感器网络,在满足传感器与接入点的连通性和覆盖范围的前提下实现成本优化。此外,利用普适通信
针对用户交互较少的情况,研究了一种用于智能家居应用的低成本能源管理系统。
在延长传感器网络寿命的背景下,文献[26]提出了一种基于非均匀聚类的方法,以更有效地解决传感器网络中能量消耗不均衡的问题。具体而言,作者提出了一种用于网络组织的非均匀聚类规模模型,以更好地分配传感器节点在接入点之间的流量,从而平衡各接入点之间的能耗,进而延长网络生命周期。在文献[27],中,作者讨论了一种决策支持算法,该算法帮助智能家居用户在使用家用电器时做出智能化决策。本文中,作者利用粒子群优化技术,提出了一种以消费者为中心的决策支持算法,该算法通过最大化消费者净效益(定义为总能量服务收益减去能耗成本)来运行。
此外,文献[28]–[31]中提出了负载均衡方法以提高传感器网络的寿命。特别是,文献[28]提出了一种主动负载均衡模型,以提高对传感器网络中节点剩余寿命的估计准确性。该模型利用每个传感器节点的历史负载曲线信息,更准确地识别每个节点的当前状态,并增强网络对故障的防护能力。文献[29],中,作者对一种在传感器网络多个簇之间工作的负载均衡算法进行了性能评估,该算法试图将传感器节点分配给能量较高的接入点,以提高传感器网络的寿命。另一方面,文献[30]研究了在传感器网络中引入移动接入点的概念,以延长网络生命周期。此外,文献[31]提出了一种负载均衡与聚类技术,通过在网络中部署一定数量的备用接入点,以改善簇间通信,并提高网络的整体能效和寿命。
III. 系统模型
考虑一种典型的智能家居网络场景,其中在网络区域内分布有多个传感器节点和无线接入点(AP),每个接入点可以自由地为任意传感器节点提供服务,而不受其所属关系的限制。图2展示了接入点与传感器节点分布的示意图。假设传感器节点根据其组兴趣进行聚类,例如归属于同一公寓或同一服务提供商公司的节点。在此基础上,根据每个簇内传感器节点的数量和分布情况,为每个簇配置一个接入点,以将该簇内的节点连接至整个网络。假设传感器节点和接入点节点均具备感知能力。传感器节点的位置固定且坐标已知,数据传输时隙的设计基于成功的数据包传输,并在数据包传输失败时进行重传。然而,为了便于分析,我们假设智能家居网络区域内的传感器节点和接入点节点的部署可分别用两种独立的二维齐次泊松点过程建模。在我们的模型中, γ0 和 γ1 分别表示传感器节点和接入点节点对应的两个独立二维泊松点过程的密度。每个传感器节点配备有不可再生能源预算(即电池),而接入点则通过电源插座获得可再生能源。进一步假设所有节点均工作在单输入单输出(SISO)模式下,即所有节点均配备单一天线用于数据传输。
接下来,我们的目标是描述所提出的智能家居网络的成本模型,以及传感器和接入点节点在网络连接性、覆盖范围和能量消耗方面的基本约束。
A. 成本模型在典型的智能家居网络中,网络的成本主要体现在传感器和接入点节点的能量消耗及制造成本上。事实上,考虑 γ0和 γ1分别表示在单位面积内通过二维齐次泊松点过程部署的传感器和接入点的平均数量,我们可以根据 Ts个感知周期计算将传感器数据传输到其关联接入点的智能家居网络成本。
C=γ0CS+γ1CAP,(1)
其中 CS和 CAP分别是与传感器和接入点相关的成本函数,且定义为
$$ C_S= \omega_1+ \omega_2 \bar{E} {Bat}, \quad (2)
C {AP} = \omega_3+ \omega_4 \bar{E}_{AP}^{Th}, \quad (3) $$
其中, ω1和 ω3分别为传感器和接入点的制造成本, ω2为传感器电池成本的比例常数, ω4为接入点在 Ts个感知周期内能耗成本的比例常数。在公式(2)和(3)中, ˉEBat表示在 Ts个感知周期期间传感器节点所需的平均电池用量,
ˉEThAP表示在 Ts个感知操作周期内接入点消耗的能量量的平均阈值。将(2)和(3)代入(1),我们可以得到以
$ \bar{\Phi}=[\gamma_0 , \gamma_1 , \bar{E} {Bat} , \bar{E} {AP}^{Th}] $表示的智能家居网络的成本函数
$$ C(\bar{\Phi})= \gamma_0 \omega_1 + \gamma_1 \omega_3 + \gamma_0 \omega_2 \bar{E} {Bat} + \gamma_1 \omega_4 \bar{E} {AP}^{Th}. \quad (4) $$
B. 能耗约束在此,我们定义了典型智能家居系统模型中传感器和接入点节点的能耗约束。首先,我们计算传感器节点和接入点在一次感知操作周期内的平均消耗能量。
在这方面,为了获得传感器节点的平均能耗,类似于[32],中研究的单输入单输出情况,我们描述了用于表征智能家居网络中传感器能耗和寿命的能量模型。计算传感器节点向接入点传输一位信息的总功耗主要有两个部分:第一项是传感器发射机电路的功耗 PC,以及传感器功率放大器的功耗 PPA。首先,为了计算发射机电路的功耗,我们使用[32]中提出的电路模块。因此,在传感器端,总功耗 PC由以下给出
PC≈PDAc+PMix+PFiltr+PLna+PSyn,(5)
其中 PDAc表示数模转换器(DAc)的功耗, PMix表示混频器的功耗, PFiltr表示发射机滤波电路的功耗, PLna表示低噪声放大器(Lna)的功耗, PSyn表示频率合成器的功耗。
功率放大器的功耗 PPA取决于传感器的发射功率 PTr以及调制方式,且可近似表示为[32],[33]
PPA≈ξηPTr,(6)
其中, ξ表示取决于调制方式和星座大小的峰均比, η表示射频功率放大器的漏极效率。在本文中,我们假设传感器数据传输采用二进制相移键控调制方式,因此 ξ为常数,即 ξ=3(√2−1)2。现在,利用链路预算关系计算传输功率 [34],,功率放大器的功耗可表示为
PPA=ξˉEbRbMlNfηGtGr(4πd/λ)θ,(7)
其中 Rb是系统比特率, λ是载波波长, d是传感器节点与接入点之间的传输距离, Gt和 Gr分别是发射机和接收机的天线增益。此外, θ是路径损耗指数,设为 θ=2, Ml表示链路裕量,用于补偿硬件工艺变化、加性背景噪声和其他干扰, Nf是接收机噪声系数,定义为 Nf=Nr/N0,其中 N0是热噪声功率谱密度(PSD), Nr是接收机处总有效噪声的PSD。
在(7)中, Eb表示在数据传输期间为达到给定误码率(BER)所需的每比特平均能量。对于采用二进制相移键控调制方式的单输入单输出系统,平均误码率(BER) ˉPb根据[34],[35]计算得出。
$$ \bar{P} b \approx \varepsilon {\varphi_b}[Q(\sqrt{2\varphi_b})] \approx \int_0^\infty \frac{1}{2} \text{erfc}(\sqrt{\varphi_b}) f(\varphi_b) d\varphi_b, \quad (8) $$
其中 εx[⋅]表示对变量 x和 Q(.)的期望值,erfc(.)分别为[34]中定义的Q函数和互补误差函数。此外,对于瑞利衰落信道的情况, f(x)=1ˉxe−x/ˉx和 φb=|h|2ˉEb/N0 中的h表示信道功率增益, ˉx定义为变量 x的期望值。注意,公式(8)可用于在给定 Pb 的值时计算 Eb。
最后,利用公式(5)和(7),传感器节点向关联的接入点传输一个数据包的能耗为
$$ \bar{E} S=(P_C+ P {PA}) R_{pkt}= c_0, \quad (9) $$
其中 c0是一个方程常数, Rpkt表示数据包传输速率,定义为 Rb除以数据包大小。
对于接入点(AP)而言,一个操作周期定义为:在r距离内从每个传感器接收并处理信息(一个数据包),执行数据包融合,并向中央服务器仅传输一个经过处理的信息数据包。在此情况下,每个接入点在一个操作周期中消耗的能量由以下公式给出
$$ \bar{E} {AP}= E N_S(r) + P {AP}^t, \quad (10) $$
其中, PrAP 和 PtAP 分别表示接入点接收和传输一个数据包所消耗的功率,PprocAP 表示接入点在一个感知周期内处理来自传感器节点的接收信息所需的功率。此外,E[NS(r)] 表示在以接入点为中心、半径为 r的圆形区域内的传感器节点数量,该数值可通过以下方式获得
E[NS(r)]=γ0γ1(1−e−γ1πr2).(11)
将(11)代入(10),并经过一些数学推导后,可得到每个接入点在一次感知操作周期内消耗的能量
ˉEAP=c1γ0γ1(1−e−γ1πr2)+c2,(12)
其中 c1 and c2是方程常数,分别计算为 c1=PrAP+PprocAP和 c2=PtAP。
下文将定义在智能家居网络的一次感知操作周期中,传感器节点的平均电池寿命以及接入点的平均能耗所遵循的约束。
考虑到智能家居网络中的每个传感器应具有足够的电池寿命以执行 TS 次感知周期,我们可以根据传感器的平均电池寿命定义约束条件
$$ \bar{L} S = \frac{\bar{E} {Bat}}{\bar{E}_S} \geq T_S, \quad (13) $$
其中 TS表示传感器寿命的阈值。
此外,鉴于接入点在 TS个感知周期内消耗的能量不应超过某一阈值,除了(13)中的约束外,我们还对接入点消耗的平均能量设置了阈值,如下所示:
$$ T_S \bar{E} {AP} \leq \bar{E} {AP}^{Th}, \quad (14) $$
其中 EThAP 是在 TS 个感知周期内接入点平均能耗的阈值。
在引入(13)和(14)中的不等式后,我们得到
$$ \frac{\bar{E} {Bat}}{\bar{E}_S}= \frac{\bar{E} {AP}^{Th}}{\bar{E}_{AP}}, \quad (15) $$
经过一些数学推导后,我们得到
$$ \bar{E} S \bar{E} {AP}^{Th} - \bar{E} {Bat} \bar{E} {AP}= 0. \quad (16) $$
现在,将(9)和(12)代入(16),我们得到关于传感器平均电池寿命约束的如下表达式
$$ c_0 \bar{E} {AP}^{Th} - c_1 \frac{\gamma_0}{\gamma_1}(1 - e^{-\gamma_1\pi r^2}) \bar{E} {Bat} - c_2 \bar{E}_{Bat}= 0. \quad (17) $$
我们可以进一步考虑(14)中对 ˉEAP的约束,并得到
$$ T_S \bar{E} {AP} - \bar{E} {AP}^{Th} \leq 0, \quad (18) $$
其中在子步骤之后将(12)代入(18),我们得到接入点消耗的平均能量的约束如下:
c1TSγ0γ1(1−e−γ1πr2)+c2TS−ˉEThAP≤0.(19)
C. 连通性与覆盖约束在智能家居网络中,一个重要挑战是确保传感器节点分布的区域能够被接入点充分覆盖,并且活跃传感器节点始终与网络保持连通。在此背景下,文献[36]提出了一项综合研究,得出了保证无线传感器网络覆盖与连接性的充分必要条件。本文考虑传感器节点和接入点节点在单位面积内按照二维齐次泊松点过程分布的情况,旨在对所提出的系统模型定义一种约束,使得在网络区域内每个传感器节点始终有超过一个活跃接入点可供服务。值得注意的是
在这方面,假设每个簇至少与另外两个簇相邻,且 p1APi 为至少有一个活跃接入点可用于为传感器节点 i提供覆盖与连接性的概率,则可根据 p2APi=(p1APi)2,用 p1APi 表示存在至少两个活跃接入点为网络中传感器节点 i服务的概率。
因此,我们可以按如下方式计算网络中每个传感器节点均有至少两个活跃接入点服务的总体概率:
p2AP=⋂ip2APi=⋂i(p1APi)2.(20)
现在,利用在[36]中获得的结果,并考虑到 (1−ae−x)2≥1−2ae−x,我们可以为 p2AP 提供以下近似:
p2AP≥1−2(αr)2exp(−(γ0+γ1)πβ2pr2),(21)
其中 p表示每个节点处于活动状态的概率2和 α+2β=1以及 α,β>0。
假设考虑覆盖与连接性概率 p2AP至少为 1−ε,即 p2AP≥1−ε,我们可以将(21)重写为
1−ε≥1−2(αr)2exp(−(γ0+γ1)πβ2pr2),(22)
经过一些数学推导后,它简化为
γ0+γ1≥1πβ2pr2log(2εr2).(23)
考虑到不等式(23)左侧在 0<εr2<1时具有非负值,我们可以在约束 α+2β=1下针对 β最小化(23)的右侧。
在问题1中,我们的目标是获得使不等式(23)右侧最小化的 α和 β的最优值。
问题1: 在考虑 α+2β=1的同时,求 U(β)中 β的最优值,如下所示
U(β)=1πβ2pr2log(2εr2(1−2β)2).(24)
Solution: 我们现在找到 β0,使得 U(β)取得最小值。根据导数最小化方法, β0 可通过以下方式获得:
∂U(β)∂β|β=β0=0.(25)
对(24)式关于 β求导数并令其等于零,我们得到
−1πpr2β30log(2εr2(1−2β0)2)+2πpr2β20(1−2β0)=0,(26)
经过一些数学推导后, β0 可通过以下表达式数值上计算得出
(1−2β0)2εr2e−2β0=2.(27)
最后,(23) 中的覆盖与连接性约束可以重写为
γ0+γ1≥U(β0)=a.(28)
IV. 寿命和能耗效率
在本节中,我们首先研究在遵守第三节所述约束的前提下,可用于更高效地管理智能家居网络中可用接入点之间传感器节点流量分布的最优措施。在这方面,表 I 总结了本节优化问题中使用的先前定义的指标。
现在,我们围绕第三节中提出的成本模型构建一个优化问题,旨在最小化智能家居网络的总成本,同时考虑传感器消耗的能量所受到的上述约束
表 I 主要参数列表
符号 含义 γ0,γ1 单位面积内传感器和接入点的平均数量,分别 TS: 感知周期数, r: 接入点平均覆盖半径, c0,c1,c2,a: 在公式(9)、(12)和(28)中定义的方程常数, ˉEBat: 传感器的平均电池消耗量, ˉEThAP: 接入点平均能耗的阈值。以及接入点节点,并满足网络中的连通性和覆盖需求。从数学上讲,(4) 中总成本函数的最小化问题可以定义为 (29),并满足相关约束。
Minimize C(ˉΦ),(29)
s.t. g0(ˉΦ)≤0,g1(ˉΦ)=0,g2(ˉΦ)≤0,
其中 $\bar{\Phi}=[\gamma_0, \gamma_1, \bar{E} {Bat}, \bar{E} {AP}^{Th}]$为优化参数,并且由(28)、(17)和(19)可得
g0(ˉΦ)=a−γ0−γ1,(30)
$$
g_1(\bar{\Phi})= c_0 \bar{E} {AP}^{Th} − c_1 \frac{\gamma_0}{\gamma_1}(1 − e^{−\gamma_1\pi r^2}) \bar{E} {Bat} − c_2 \bar{E} {Bat}, \quad (31)
g_2(\bar{\Phi})= c_1 T_S \frac{\gamma_0}{\gamma_1}(1 − e^{−\gamma_1 \pi r^2})+ c_2 T_S − \bar{E} {AP}^{Th}, \quad (32)
$$
分别。
为了解决(29)中给出的优化问题,我们采用[37]中提出的拉格朗日分解法。注意到上述最小化问题具有解耦约束,因此我们将求解过程分为两部分。首先,我们根据上述约束构造拉格朗日目标函数。然后,通过应用分解方法,在卡鲁什‐库恩‐塔克(KKT)条件(如[37]中所述)下进行最小化。接下来,我们应用上述步骤。
在这方面,我们构造拉格朗日函数如下:
L(ˉΦ,ˉμ)=C(ˉΦ)+μ0g0(ˉΦ)+μ1g1(ˉΦ)+μ2g2(ˉΦ),(33)
其中 ˉμ=[μ0,μ1,μ2] 是与 (29) 中给出的每个约束相关的拉格朗日乘子参数,其满足以下 KKT 条件
μ0g0(ˉΦ)=0,(34)
μ1g1(ˉΦ)=0,(35)
μ2g2(ˉΦ)=0.(36)
在引入之后 (4)、(30)‐(32)中的成本函数代入(33)中的目标函数,并进行进一步的数学推导,我们得到
$$
\begin{aligned}
L(\bar{\Phi}, \bar{\mu}) &= \gamma_0\omega_1+ \gamma_1\omega_3+ \gamma_0\omega_2 \bar{E} {Bat}+ \gamma_1\omega_4 \bar{E} {AP}^{Th} \
&+ \mu_0 c_0 \bar{E} {AP} - c_1\mu_0 \bar{E} {Bat} \frac{\gamma_0}{\gamma_1}(1 - e^{-\gamma_1\pi r^2}) - \mu_0 c_2 \bar{E} {Bat} \
&+ \mu_1(a− \gamma_0 − \gamma_1) + \mu_2 c_1 T_S \frac{\gamma_0}{\gamma_1}(1 - e^{-\gamma_1\pi r^2}) \
&+ \mu_2 c_2 T_S - \mu_2 \bar{E} {AP}^{Th}.
\end{aligned}
\quad (37)
$$
然后,目标函数关于优化参数的导数可以表述如下:
∂L(ˉΦ,ˉμ)∂γ0=0,(38)
∂L(ˉΦ,ˉμ)∂γ1=0,(39)
$$
\frac{\partial L(\bar{\Phi}, \bar{\mu})}{\partial \bar{E} {Bat}} = 0, \quad (40)
\frac{\partial L(\bar{\Phi}, \bar{\mu})}{\partial \bar{E} {AP}^{Th}} = 0. \quad (41)
$$
从计算(38)‐(41)中的导数开始,我们得到方程(42)‐(45),依次对应。
$$
\frac{\partial L(\bar{\Phi}, \bar{\mu})}{\partial \gamma_0} = \omega_1+ \omega_2 \bar{E} {Bat} - \mu_1 - \frac{c_1}{\gamma_1}(1 - e^{-\gamma_1\pi r^2})(\mu_0 \bar{E} {Bat} - \mu_2 T_S)= 0, \quad (42)
\frac{\partial L(\bar{\Phi}, \bar{\mu})}{\partial \gamma_1} = \omega_3+ \omega_4 \bar{E} {AP}^{Th} - \mu_1 -(\mu_0 \bar{E} {Bat} - \mu_2 T_S) \frac{c_1 \gamma_0}{\gamma_1^2}(\gamma_1\pi r^2 e^{-\gamma_1\pi r^2} -(1 - e^{-\gamma_1\pi r^2}))= 0, \quad (43)
\frac{\partial L(\bar{\Phi}, \bar{\mu})}{\partial \bar{E} {Bat}} = \gamma_0 \omega_2 - \mu_0 c_1 \frac{\gamma_0}{\gamma_1}(1 - e^{-\gamma_1 \pi r^2}) - \mu_0 c_2= 0 \quad (44)
\frac{\partial L(\bar{\Phi}, \bar{\mu})}{\partial \bar{E} {AP}^{Th}} = \gamma_1 \omega_4+ \mu_0 c_0 - \mu_2= 0. \quad (45)
$$
现在,根据公式(44),我们可以得到参数 μ0
μ0=γ0γ1ω2γ0c1(1−e−γ1πr2)+γ1c2,(46)
其中,在考虑问题(29)至少存在一个可行解后,我们得到 μ0>0。然后将其代入(34),得到 g0(ˉΦ)=0。此外,由 (45)中得到的方程可得 μ2为
μ2=γ1ω4+μ0c0,(47)
其中在考虑v1之后,可得 μ2>0。然后将其代入(36),得到 g2(ˉΦ)=0.
现在,根据上述结果,我们可以按照(29)中的问题更新约束条件
Minimize C(ˉΦ),(48)
s.t. g0(ˉΦ)=0,g1(ˉΦ)=0,g2(ˉΦ)=0.
在(48)给出的最小化问题中,我们有三个方程和四个变量,即 γ0、 γ1、 $\bar{E} {Bat}和\bar{E} {AP}^{Th}。为了解决这个问题,我们采用一种消去三个变量的策略,将成本函数C(x)表示为单个变量的函数。一旦基于单个变量解决了优化问题,我们就可以相应地得到其他变量。首先,利用(30)并考虑约束g_0(\bar{\Phi})= 0,我们可以将\gamma_0表示为\gamma_1$的函数。
γ0=a−γ1.(49)
然后,使用(32)并考虑约束g2(ˉΦ)=0,我们可以用 γ0和 γ1表示 ˉEThAP
ˉEThAP=c1TSγ0γ1(1−e−γ1πr2)+c2TS.(50)
最后,使用g(31)并考虑约束g1(ˉΦ)=0,我们可以用γ0、 γ1和$\bar{E} {AP}^{Th}表示\bar{E} {Bat}$
$$
\bar{E} {Bat}= \left( \frac{c_0 \gamma_1}{c_1 \gamma_0(1 - e^{-\gamma_1\pi r^2})- c_2 \gamma_1} \right) \bar{E} {AP}^{Th}. \quad (51)
$$
现在,将方程(49)‐(51)代入(4),并经过一些数学推导后,我们可以将 C(Φ)重写为关于 γ1的形式,如下所示
C(γ1)=aω1+(ω3−ω1)γ1 +ω2c0c1TS(a−γ1)2(1−e−γ1πr2)+ω2c0c2TSγ1(a−γ1)c1(a−γ1)(1−e−γ1πr2)−c2γ1 +ω2ω4c1TS(a−γ1)2(1−e−γ1πr2)+ω2ω4c2TS(a−γ1)γ1.(52)
现在,为了解决(48)中的最小化问题,我们可以对 C(γ1)关于 γ1求导,并令其等于零,即
∂C(γ1)∂γ1=0.(54)
将(52)代入(54),并经过求导以及一些数学推导和化简后,我们可以得到如下方程:
c1(a−γ1)(πr2(a−γ1)e−γ1πr2−2(1−e−γ1πr2))+c2(a−2γ1)c1(a−γ1)(1−e−γ1πr2)−c2γ1 −(c2γ1(a−γ1)+c1(a−γ1)2(1−e−γ1πr2))(−c1+c1e−γ1πr2+c1πr2(a−γ1)e−γ1πr2−c2)(c1(a−γ1)(1−e−γ1πr2)−c2γ1)2 +ω4c2c0(a−2γ1)+ω4c1c0(−2(a−γ1)(1−e−γ1πr2)+πr2(a−γ1)2e−γ1πr2)+ω3−ω1ω2c0TS=0.(55)
最后,使网络总成本最小化的参数 γ1 的最优值是方程(55)的解。一旦获得 γ1,我们就可以分别使用(49)、(50)和(51)得到 γ0、 $\bar{E} {AP}^{Th}和\bar{E} {Bat}。为此,提供了算法1来计算使网络总成本最小化的参数\bar{x}$的最优值。
在此,我们尝试从方程(55)中获得 γ1 最优值的闭式表达式。在这方面,
算法1 计算参数 γ0、 γ1、 $\bar{E} {Bat}和\bar{E} {AP}^{Th}$的最优值。
将 r和 TS参数初始化为一些合理的值。 使用表达式(27)计算 a的值。 对于假设的值,使用表达式(55)计算 γ1。 已知 γ1,使用(49)计算 γ0的值。 已知 γ0和 γ1,使用(50)计算 ˉEThAP的值。 已知γ0、 γ1和 $\bar{E} {AP}^{Th},使用(51)计算\bar{E} {Bat}$的值。 结束。考虑到在给定的覆盖区域内传感器节点数量通常多于接入点数量,我们可以认为 γ0≫γ1和 γ0/γ1≫1。现在将此代入(49),可得 γ0≈a,然后
a−γ1≈a.(56)
应用该应用程序将(56)中的近似应用于(55)中的表达式,并经过进一步的数学推导后,我们得到
2c2a−c1a(1−e−γ1πr2)c1a(1−e−γ1πr2)−c2γ1+ω4c2ac0+ω3−ω1ω2c0TS+ω4c1c0(−2a(1−e−γ1πr2)+πr2a2e−γ1πr2)=0.(57)
此外,假设 c1>c2和 a≫γ1,我们可以得到 c1a−c2γ1≈c1a,利用此结果,可进一步将(57)近似为
2c2+c1e−γ1πr2c1(1−e−γ1πr2)+ω4c2ac0+ω3−ω1ω2c0TS+ω4c1c0(−2a(1−e−γ1πr2)+πr2a2e−γ1πr2)=0,(58)
经过进一步的数学推导后,我们可以将(58)表示为
AX2+BX+C=0,(59)
其中 X=e−γ1πr2 和 A, B 和 C 表示为
A=ω4c1a(πr2a+2),(60)
B=ω4c2a−c0+ω3−ω1ω2TS−ω4c1a(πr2a+4),(61)
C=ω4a(2c1−c2)−2c0c2c1−ω3−ω1ω2TS.(62)
方程(59)是一个具有三个系数 A、 B和 C的标准二次方程。幸运的是,二次方程可以使用通用公式[38]求解。因此,可以证明(59)中二次方程的根可以找到如下
X=−B±√Δ2A,(63)
根据 Δ=B2−4AC,已知γ1=1πr2log(1x),在(63)中唯一的可行解为 0<X<1,因此,我们可以得到计算 γ1 的表达式如下:
γ1=1πr2log(2A−B±√Δ).(64)
最后,结合将(64)代入(49)、(50)和(51),可得到参数 γ0、 $\bar{E} {AP}^{Th}和\bar{E} {Bat}$的最优值,
V. 仿真结果示例
在本节中,我们通过仿真说明了第IV节中提出的优化问题的性能,重点分析了智能家居网络中接入点平均覆盖半径和接入点节点活动水平,同时考虑了传感器和接入点节点消耗的能量约束,并满足网络的连通性和覆盖需求。在我们的仿真中,系统和传输参数与[32],[39]中的设置相同,如表II所示。我们将传感器和接入点节点的制造成本分别设为 w1=0.5和 w3=5,运行成本分别设为 w2=2和w4=0.2。此外,我们假设每个数据包包含1000比特。
表II 仿真参数。
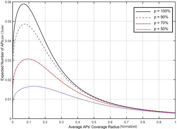
参数 值 fc=2.4 GHz η=0.35 ˉPb=10−3 GtGr=5dBi N0=−171 dBm/Hz PDAc=0.05毫瓦 Nf=10 dB PMix=0.2毫瓦 Ml=20 dB PFiltr=0.02毫瓦 Rb=150千赫兹 PLna=0.15毫瓦 PrAP=0.1毫瓦 PSyn=0.35毫瓦 PtAP=1毫瓦 PprocAP=0.1毫瓦图3展示了在满足系统中上述约束的条件下,每个簇内接入点的期望数量的最优值随接入点平均覆盖半径的变化情况,以及在网络区域内不同接入点活动概率下的表现。该图显示,随着覆盖半径的增加,参与感知过程所需的接入点最优数量减少,且在不同接入点活动概率下均呈现此趋势。然而,随着平均覆盖半径的增大,不同接入点活动概率对应的接入点期望数量的最优值趋于相同。
在图4中,我们绘制了智能家居网络中平均传感器与AP分布比率的最优值,即 γ0/γ1,随接入点平均覆盖半径的变化情况,并针对不同的接入点活动概率取值进行了展示。该图显示,随着接入点平均覆盖半径的增加,对于不同接入点活动概率值,该比率均随之上升。事实上,随着接入点覆盖半径的增大,参与感知操作的接入点数量减少(见图3),这将提高平均传感器与AP分布比率的最优值。此外,随着平均接入点覆盖半径的增加,每个接入点能够服务的传感器节点数量也随之增加,从而进一步提升平均传感器与AP分布比率的最优值。此外,从该图还可观察到,对于给定的接入点平均覆盖半径值,较低的接入点活动概率意味着在该区域内有较少的活跃接入点为传感器节点提供服务,这将导致平均传感器与AP分布比率的最优值增大。
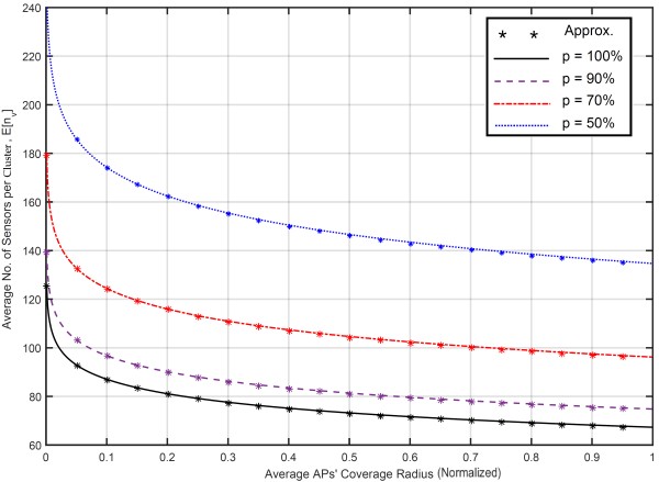
图5研究了在智能家居网络中,每个簇的平均传感器数量的最优值随接入点平均覆盖半径的变化情况,以及在不同接入点活动概率下的表现。该图显示,随着接入点平均覆盖半径的增加,每个簇的平均传感器数量的最优值会减少。
这是因为在平均接入点覆盖半径增大时,每个传感器被多个接入点覆盖的可能性更高,从而使传感器分布在多个接入点之间,最终降低了每簇中传感器的密度。另一方面,对于给定的接入点平均覆盖半径,当接入点活动概率降低时,可用于覆盖网络区域的接入点数量减少,因此传感器节点只能分布于较少的接入点中,这将增加每簇中传感器节点的密度。值得一提的是,本图还提供了关于(64)中近似表达式的计算结果,可以看出,精确计算结果与近似结果之间具有良好的一致性。
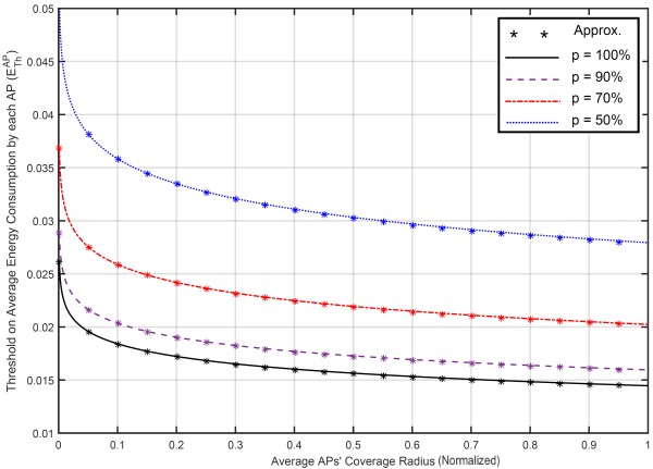
在图6中,针对接入点平均覆盖半径以及不同接入点活动概率值,研究了智能家居网络中AP平均能耗阈值的最优值。该图显示,随着接入点平均覆盖半径的增加,接入点平均能耗的最优阈值也随之变化。
下降。这意味着在智能家居网络中,随着接入点覆盖半径的增加,接入点需要采用更低的能耗阈值,以满足能量、覆盖和连接性约束。此外,该图还表明,对于给定的接入点平均覆盖半径,随着接入点活动概率的降低,接入点平均能耗的最优阈值会增加。这可以解释为:在智能家居网络中,活跃接入点数量减少时,需要在接入点设置更高的阈值,以满足上述约束条件。
图7研究了在智能家居网络中,传感器节点的平均电池消耗的最优值随接入点平均覆盖半径的变化情况,以及在不同接入点活动概率下的表现。该图显示,随着接入点平均覆盖半径的增加,每个传感器的平均电池消耗的最优值也随之增加。这意味着,随着接入点平均覆盖半径的增大,传感器节点需要消耗更多的电池能量
满足能量、覆盖和连接性约束。此外,该图表明,对于给定的接入点平均覆盖半径,随着接入点活动概率的降低,每个传感器节点的平均电池消耗的最优值也随之降低。这可以解释为:活跃接入点数量减少时,为了在遵守能量和覆盖约束的同时满足式(29)中给出的成本最小化问题,传感器节点在一个数据传输周期内消耗的能量应减少。
六、结论
我们考虑了一个典型的智能家居网络场景,该场景包含多个设备,即传感器和接入点,这些设备在网络区域内通过二维齐次泊松点过程分布,每种类型的设备均遵循此分布。我们还考虑利用OpenFlow软件定义网络技术的优势,使传感器能够在相邻的任意接入点之间选择用于数据通信的路径,从而更好地提高网络的能效和连通性。事实上,采用OpenFlow软件定义网络可实现控制平面与数据平面的分离,从而能够以自适应的方式协调流量转发至目标目的地。
所提出的智能家居网络被假定在接入点的平均能耗以及传感器节点的平均电池消耗约束条件下运行,分别用于提高智能家居网络的能效和寿命。此外,还引入了另一项约束以确保整个智能家居网络所需的完全网络连接性和覆盖范围。
在此背景下,我们研究了在满足上述联合约束条件的情况下,可用于更优地管理智能家居网络中传感器节点在可用接入点之间流量分布的最优措施。具体而言,我们首先为所提出的智能家居网络建立了一个成本模型,并构建了一个优化问题,旨在最小化网络成本,同时考虑传感器节点和接入点的能量消耗约束,并满足网络中的覆盖与连接性需求。
随后,我们采用拉格朗日分解法求解该优化问题,并提出了一种算法,用于计算在网络运行周期的若干个时隙内,传感器节点的平均电池消耗和接入点能耗的平均阈值的最优值。此外,在传感器节点数量非常多的情况下,我们能够获得相应的闭式表达式。
传感器的平均电池消耗的最优值以及接入点能耗的平均阈值。最后,我们通过仿真验证了理论结果,说明了所提出的优化方法在智能家居网络中的有效性和优势,并量化了其在不同运行场景和条件下的效益。特别是,我们观察到,在智能家居网络中,随着接入点平均覆盖半径的增加,为了满足预设的能量、覆盖和连接性约束,接入点所需的能耗阈值必须降低。另一方面,随着接入点平均覆盖半径的增加,传感器节点需要消耗更多的电池能量,以满足能量、覆盖和连接性约束。
在本研究工作中,我们认识到采用OpenFlow软件定义网络技术对于异构物联网 (IoT) 网络及其应用程序中的最优服务与资源管理至关重要。我们坚信,自适应流控和灵活资源管理的能力可用于多种不同的物联网场景,例如智慧城市和智能商业。特别是如本文所述,通过允许接入点为其附近任何设备提供服务,而不论该设备的正式网络归属,并结合应用OpenFlow软件定义网络技术,我们能够以降低接入点能耗和传感器电池寿命为代价,最小化网络成本。
这也为异构智能网络开辟了一条新途径,使其能够更好地应对具有不同服务质量要求的各类物联网应用程序。
网址:智能家居网络能效优化 https://www.yuejiaxmz.com/news/view/1445336
相关内容
揭秘ZigBee技术:数据库优化,让你的智能家居网络更高效!揭秘无线网络设计:Zigbee网络优化秘籍,轻松提升家居智能体验
揭秘无线Zigbee网络:五大技巧优化家居智能互联
揭秘 Zigbee 网络优化秘籍:轻松提升无线传输效率,解锁智能家居新体验
智能网络优化:提升性能与效率的未来趋势
家庭自动化网络组成:智能家居设备该如何接入网络
网络家电关键词优化,打造智能生活新篇章
低功耗网状网络技术如何革新智能家居能效管理
智能家居安全智能设备网络
智能家居系统性能优化

