回收利用是保护金属资源的一条有效途径。某工业废料含氧化铜和氧化铁,经过处理后可得到铜和硫酸亚铁溶液,主要流程如下。已知:CuO+H2SO4=CuSO4+H2O;
废弃金属如铁、铜等通过回收可再制造。 #生活常识# #环保生活Tips# #回收利用#
题型:填空与简答-流程题 难度:0.4 引用次数:152 题号:13109576
回收利用是保护金属资源的一条有效途径。某工业废料含氧化铜和氧化铁,经过处理后可得到铜和硫酸亚铁溶液,主要流程如下。
已知: CuO + H2SO4 =CuSO4 + H2O;Fe + Fe2(SO4) 3=3FeSO4
(1)过程II充分反应后,还应有的实验操作是
。
(2)溶液B的pH
7(填“大于”或“小于”)。
(3)C物质的化学名称是
。
更新时间:2021/06/03 13:46:00 |
抱歉! 您未登录, 不能查看答案和解析点击登录
相似题推荐填空与简答-推断题 | 较难 (0.4)
解题方法
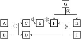
【推荐1】A-I是我们已学的常见物质,它们的相互转化关系如下图所示(有的反应条件、反应物和生成物未给出)。已知A、D是组成元素相同的无色气体;G、F组成元素也相同,在常温下都是液体;C是目前世界上产量最高的金属。
(1)C的化学式为
。
(2)反应④的基本反应类型为
。
(3)反应①在实际中的应用是
。
(4)反应②的一个化学方程式为
。
2021/07/30 | 172次组卷
填空与简答-简答题 | 较难 (0.4)
解题方法
【推荐2】某金属(用 R 表示)能与盐酸发生置换反应,其金属活动性弱于锌,相对原子质量小于65。向一定质量的 AgNO3、Cu(NO3)2和R(NO3)2混合溶液中加入 Zn,充分反应后过,得到固体和溶液。向所得到的固体上滴加盐酸时有气泡产生。
(1)猜想一种R可能的金属与盐酸反应的化学方程式。
(2)所得到的固体中一定含有哪些金属?
(3)根据题意在如图中画出大致的对应曲线。
2023/07/09 | 65次组卷
填空与简答-填空题 | 较难 (0.4)
【推荐3】金属材料是日常生活中应用广泛的材料,请回答下列与金属有关的问题。
(1)汽车的外部材料如图1所示,含有的金属元素是
(填元素符号,填一种)。含有的有机合成材料是
________________(填材料名称,填一种)。
(2)车身喷漆处理既美观又防锈,喷漆防锈的原理是
。
(3)铝的抗腐蚀性能好,原因是
(用化学方程式表示)。
(4)等质量的甲、乙、丙三种金属的粉末,与足量的稀硫酸反应(反应后甲、乙、丙三种金属均显+2价),生成H2的质量与反应时间的关系如图2所示,下列说法不正确的是
。
A 三种金属的活泼性:乙>甲>丙
B 生成氢气的质量:甲>乙>丙
C 相对原子质量:甲>乙>丙
D 消耗硫酸的质量:甲>乙>丙
(5)在AgNO3、Zn(NO3)2 和Cu(NO3)2的混合溶液中加入一定量的铁粉,充分反应后过滤。向滤渣中加入稀盐酸,有气泡产生。根据上述现象,下列说法正确的有
。
A 滤渣中一定有Zn
B 滤渣中一定有Ag和Fe,可能有Cu
C 滤液中一定有Fe(NO3)2、Zn(NO3)2
D 滤液中可能有AgNO3、Cu(NO3)2
2020/05/06 | 141次组卷
网址:回收利用是保护金属资源的一条有效途径。某工业废料含氧化铜和氧化铁,经过处理后可得到铜和硫酸亚铁溶液,主要流程如下。已知:CuO+H2SO4=CuSO4+H2O; https://www.yuejiaxmz.com/news/view/1369323
相关内容
回收利用是保护金属资源的一条有效途径。某工业废料含氧化铜和氧化铁,经过处理后可得到铜和硫酸亚铁溶液,主要流程如下。已知: CuO + H2SO4=CuSO4 + H2O Fe + Fe2(SO4) 3=3FeSO4回收利用是保护金属资源的一条有效途径.某工业废料含碱式碳酸铜[Cu2(OH)2CO3]和氧化铁.经过处理后可得到铜和硫酸亚铁溶液.主要流程如下.已知:Cu2(OH)2CO3+2H2SO4=2CuSO4+3H2O+CO2↑ Fe+Fe2(SO4)3=3FeSO4(1)过程Ⅰ中加入过量A的目的是使固体完全溶解.(2)过程Ⅱ中发生的置换反应是Fe+CuSO4 题目和参考答案——青夏教育精英家教网——
如图所示是生活中常见的金属物质.(1)如图所示生活用品中.主要是利用金属导热性的是C.(2)铝具有很好的抗腐蚀性.原因是4Al+3O2=2Al2O3.(3)某些化学兴趣小组用铁丝.铜丝.稀硫酸和硫酸铜溶液.验证铁.铜.银的金属活动性顺序.实验结束后同学们欲对该实验的废液进行探究.他们先看到废液呈蓝色的现象.认为废液中一定含有硫酸铜,还认为一定含有硫酸亚铁.依� 题目和参考答案——青夏教育精英家教网——
15.亚硫酸钠在空气中易被氧化生成硫酸钠.现有ag亚硫酸钠样品.溶解后加入足量氯化钡溶液.可得干燥沉淀bg. (1)若亚硫酸钠未被氧化.b= a. (2)若亚硫酸钠全被氧化.b= a.——青夏教育精英家教网——
跨学科实践活动5 调查日常生活中废弃金属的种类及回收利用
跨学科实践活动7 垃圾的分类与回收利用课件(共29张PPT内嵌视频)
金属在日常生活中应用广泛.(1)用锌片和硫酸铜溶液的反应可呈现“铁树开花 的美景.该反应的化学方程式是 .(2)铁制品在喷漆前需放入稀盐酸中除锈.除铁锈的化学方程式是 . Zn + CuSO4 === ZnSO4 + Cu Fe2O3 + 6HCl === 2FeCl3 + 3H2O [解析] (1)锌和硫酸铜反应生成硫酸锌和铜.反应的化学方程式是Zn + 题目和参考答案——青夏教育精英家教网——
2KMnO4 + 16HCl = 2KCl + 2MnCl 2+ 5Cl 2↑ + 8H2O (1)用单线桥表示出上述反应中电子转移的方向和数目 (2)上述反应中氧化剂与还原剂的物质的量比 (3)15.8g KMnO4能使多少克HCl被氧化? (4)产生的Cl2在标准状况下的体积为多少?( 题目和参考答案——青夏教育精英家教网——
已知生活中厕所清洁剂的pH=1.厨房的清洁剂的pH=12.下列关于两者的说法不正确的是( )A. 厕所清洁剂加水稀释.溶液pH升高 B. 厨房清洁剂可能含有NaOHC. 混合使用能提高两者的清洁效果 D. 厕所清洁剂可能使铁制下水道腐蚀 C [解析]溶液的pH小于7.溶液呈酸性.pH越小.酸性越强,溶液的pH大于7.溶液呈碱性.pH越大碱性越强,pH等于7.溶液 题目和参考答案——青夏教育精英家教网——
人类的生产和生活都离不开金属.(1)下列生活用品中.主要利用金属导热性的是C.(2)自行车支架喷漆防锈的原理是隔绝氧气和水.(3)我国古代湿法炼铜的反应原理是Fe+CuSO4=FeSO4+Cu. 题目和参考答案——青夏教育精英家教网——

