4.5 可再生能源系统
使用可再生能源,如地源热泵,作为热水系统的补充。 #生活常识# #日常生活小窍门# #节能建议# #节能热水系统#
4.5.1 可再生能源系统应包括太阳能生活热水系统、光伏系统、地源热泵系统和风力发电系统。
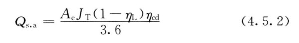
4.5.2 太阳能热水系统提供能量可按下式计算:

式中:
Qs,a—太阳能热水系统的年供能量(kWh);
Ac——太阳集热器面积(m2);
JT—太阳集热器采光面上的年平均太阳辐照量(MJ/m2);
ηcd——基于总面积的集热器平均集热效率(%);
ηL——管路和储热装置的热损失率(%)。
4.5.3 太阳能热水系统提供的能量不应计入生活热水的耗能量。
4.5.4 地源热泵系统的节能量应计算在暖通空调系统能耗内。
4.5.5 光伏系统的年发电量可按下式计算:

式中:
Epv——光伏系统的年发电量(kWh);
I——光伏电池表面的年太阳辐射照度(kWh/m2);
KE——光伏电池的转换效率(%);
KS——光伏系统的损失效率(%);
Ap——光伏系统光伏面板净面积(m2)。
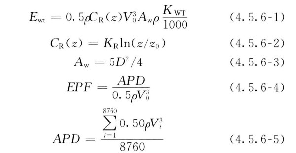
4.5.6 风力发电机组年发电量可按下列公式计算:

式中:
Ewt——风力发电机组的年发电量(kWh);
ρ——空气密度,取1.225kg/m3;
CR(z)——依据高度计算的粗糙系数;
KR——场地因子;
z0——地表粗糙系数;
V0——年可利用平均风速(m/s);
Aw——风机叶片迎风面积(m2);
D——风机叶片直径(m);
EPF——根据典型气象年数据中逐时风速计算出的因子;
APD——年平均能量密度(W/m2);
Vi——逐时风速(m/s);
KWT ——风力发电机组的转换效率。
条文说明
4.5.1 现行国家标准《绿色建筑评价标准》GB/T50378对可再生能源的三种形式进行了规定,可再生能源提供的生活用热水,可再生能源提供的空调用冷量和热量,可再生能源提供的电量。这三种形式分别对应的是太阳能光热系统、地源热泵系统(包括地埋管式及水源式)、太阳能光伏发电系统等。
从应用范围及技术成熟角度出发,规定建筑物碳排放计算的可再生能源包括太阳能光热系统、太阳能光电系统、地源热泵系统及风力发电系统。
可再生能源系统的碳减排量受资源和能源系统的实际用能量影响,计算建筑物碳排放时,应考虑可再生能源供应与建筑能源消耗的匹配性,计算建筑实际消耗的可再生能源产生的能源并在对应的建筑能源系统的能源消耗量中直接扣除。
4.5.4 地源热泵系统的供暖效率较高,在暖通空调系统的能耗计算中已经考虑在内,不应再单独计算其节能量而产生的减碳量。
4.5.5 光伏系统的发电量是动态变化的,太阳能资源逐时变化,且系统效率也受资源因素的影响。在设计阶段可以通过太阳能资源情况、系统形式等信息计算其发电量。
当前的太阳能电池种类包括晶体硅电池、薄膜电池及其他材料电池。其中硅电池又分为单晶电池、多晶电池和无定形硅薄膜电池等。对太阳能电池而言,最重要的参数是光电转换效率,在实验室所研发的硅基太阳能电池中,单晶硅电池效率为25.0%,多晶硅电池效率为20.4%,铜铟镓硒薄膜(CIGS)电池效率达19.6%,碲化镉(CdTe)薄膜电池效率达16.7%,非晶硅(无定形硅)薄膜电池的效率为10.1%,而在实际应用中效率略低这一水平。表13提供了一些常见的光伏电池的转换效率(KE)。
表13 光伏电池转换效率
光伏发电系统在光电转换和输配过程中存在能量的损失,表14列出了常见环节的损失效率。
表14 光电系统损失效率
光伏系统光伏面板的净面积计算时不包括支撑结构。
4.5.6 本条提供了风力发电系统年发电量的简化计算公式。地形类别和相关系数见表15,风力涡轮机效率见表16。年可利用平均风速为风速大于0m/s时刻的风速的平均值。8760为一年中的小时数。
表15 地形类别和相关系数
表16 风力涡轮机效率
网址:4.5 可再生能源系统 https://www.yuejiaxmz.com/news/view/1354674
相关内容
可再生能源综合系统现状与未来发展趋势研究可再生能源领域职业技能培训考核系统
智能电网应用中的可再生能源存储系统
智能家居与可再生能源集成的智慧能源管理系统
可再生能源解决方案篇①:光伏和储能系统
一种生活垃圾处置场可再生能源与资源利用系统
可再生能源区域供生活热水热泵系统技术方案
技术篇:能源塔热泵系统
【可再生能源】
绿色低碳转型加速,可再生能源助力能源供应保障

