【莱温坦伯】公共厨房通风空调设计计算
考虑厨房通风设计,保持空气流通 #生活技巧# #家居布置技巧# #厨房布置#

0引言
有餐饮功能的大型公共建筑中大型厨房通风设计的特点是:炉灶排风量和相应的补风量很大,且与周围空调区域应保持负压,以避免气味外溢;灶具的产热产湿量较大,在炎热的夏季,仅靠通风很难消除室内的热湿负荷, 新风补风一般需经空气处理机组进行除湿降温。
但在实际工程设计中,在厨房灶具完全确定前,其发热量和空调冷却量很难确定;设计估算如偏小,不满足夏季降温要求;如估算过大,空气处理设备表冷器、控制阀和冷源设备等均偏大,不仅增加一次投资、设备运行和控制均偏离额定工况,
不利于节能。
为避免设计中的盲目性,笔者总结了厨房风量平衡措施、通风量和冷热量的计算方法,并确定了不同气候地区厨房新风机组送风参数的计算方法。
1通风量确定及风量平衡
总排风量理论上应按排除厨房发热量以及按炉灶排气罩罩口风速计算出的较大值确定,但建筑设计时厨房发热量往往无法确定,一般按排气罩计算或按换气次数估算排风量,计算或估算方法可参考文献等。为了维持厨房为负压,补风量一般为排风量的80%~ 90%。因使用时间和排风量不同,热加工间与配餐等其他发热量较小房间宜分别设置排风设备,各灶具也宜分别设置排风系统。配餐等其他房间一般设置全面排风即可。热加工间除设炉灶排风外,还应设置换气次数不小于5h-1的全面排风设施,如果房间炉灶排风形成的房间换气次数过大,可以考虑全面排风仅在炉灶不使用时开启,以避免补风量过大。
因热加工间与配餐等房间送风参数要求不同,宜分别设置补风设备。热加工间全面排风与炉灶排风不同时使用时,总补风量应不考虑全面排风量;且补风机组的补风量应适应排风量,以保证厨房的设计负压值和风量平衡,可以采用排风设备和对应的补风设备联锁启停,或共用的空气处理机组采用变速风机,根据排风机的开启台数和风量改变补风机的转速等控制措施。
当采用餐厅新风作为厨房补风时,应考虑餐厅补风与排风的风量平衡,空气在各区域的流动方向应是: 其他空调区域(正压,送风量> 排(回风)量)→餐厅(送风量= 排(回)风量)→厨房(负压,送风量<小于排风量)。当餐厅采用风量恒定的新风机组送风,且与厨房直接相邻时,餐厅新风可压入厨房作为厨房补风。当餐厅采用全空气变新风比空调系统,且与厨房直接相邻时,餐厅冬夏季最小新风量可压入厨房作为厨房补风,并宜另设过渡季全新风运行时开启的排风系统。餐厅与厨房的补风通路应满足自然通风的风速要求(不大于1m/s)。餐厅和厨房不直接相邻时,餐厅应设置独立的排风系统。
2公共厨房新风机组送风参数、冷却量计算和室温控制
2.1新风机组冬季送风参数
冬季室外温度较低的地区,公共厨房应设供暖系统,承担围护结构热负荷。为了避免机械补风系统给室内带来额外的热负荷,应对机械补风进行加热处理后再送入室内,送风温度不应低于室内供暖设计温度。根据文献,热加工间室内供暖设计温度为10℃,对于设计标准较高的热加工间,可以适当提高,一般送风设计温度可取10~14℃。
上述较低的温度(例如10℃) 仅为从节能出发计算设备加热量的设计取值,冬季加热水阀的室内控制温度可人为设定在较舒适的温度(例如16℃),当炉灶使用时,送风温度实际低于房间设定温度,房间温度则保持在比设计取值(10℃) 高且舒适的范围内。
制作间、配餐间的室内供暖设计温度和送风温度一般取16℃;当热加工间与制作配餐间合用送风系统时,送风温度应取二者中的较高值。室外温度一般取当地冬季供暖室外计算温度。
2.2新风机组夏季送风参数、冷却量计算和室温控制
由于厨房的室内发热量很难确定,因此无法通过热平衡方法确定厨房送风量及送风参数。在厨房发热未知的情况下,厨房通风量一般是根据换气次数或灶具排风量确定的已知量。作如下假设:当空气处理机组将已确定的新风量处理至通过室内设计状态点的热湿比线的机器露点(与90% 相对湿度线的交点),即可消除厨房的散热散湿量;根据此假设,只要确定厨房室内设计参数及热湿比,就可以通过焓湿图确定机组的送风参数(见图1)。分析和确定过程如下:

1)由于热加工间排风油烟等污染物量大,不能设置回风或排风热回收装置,补风系统一般为直流新风机组,为了避免能量浪费,室内设计温度取值不宜过低。热加工间的室内设计温、湿度推荐值为30℃,65%,配餐间的室内设计温、湿度推荐值为26℃,65%。气候干热地区室内相对湿度则较低。厨房散热散湿量均较大,热湿比ε假定为8000kJ/kg 。
2)厨房新风机组冷却量QL(kW)按下式计算:

式中 Vx为新风机组送风量,m3/h;Q为空气密度,kg/m3;hs 为送风状态点S 的比焓,kJ/kg;hw为室外状态点W 的比焓,kJ/kg,为安全起见,取当地夏季空调室外设计状态点。
3)由于上述冷却量是基于/将已确定的送风量处理至通过室内设计状态点的热湿比线的机器露点,即能够消除厨房的散热散湿量0的假设,因此对于夏季湿热地区,式(1) 的送风状态点S 由通过N 点的热湿比线(ε= 8000kJ/kg)与U= 90%相对湿度线相交获得(见图1 中的N-S线),S点温度为23.2℃,含湿量为16.12 g/kg,比焓为64.35 kJ/kg。当房间实际最大负荷略大于机组最大冷却能力时,室内状态点有可能沿热湿比线上移,房间温度略高于设定值,但湿度略有下降,对人员舒适感有利;由于满负荷时间较短,且采用的室外新风温度为夏季空调设计温度,因此不会对厨房舒适度产生影响。
4)对于气候干热地区,夏季室外空调设计状态点Wc可能在热湿地区送风点S 的左侧(见图1中的虚线),即室外空气状态点含湿量小于S点含湿量,此时应调整送风点为Sc,可取Sc点温度与S点相同,含湿量与室外空气状态点Wc相同。新风机组空气处理过程为干工况冷却。
本文中的干热地区是指夏季空调室外计算含湿量小于图1中送风点S含湿量( 16. 12g/kg)的地区。表1为主要代表城市及其夏季室外气象参数。这些地区夏季通风室外计算温度均在26℃以上,但室外含湿量均在14g/kg以下,新风机组需要降温冷却,但不需要除湿,甚至不需要将空气处理至等湿过程的机器露点。某空气处理机组厂家协助笔者进行了表冷器的选择计算,计算结果见表2。从表中可以看出,在正常的迎面风速范围内,表中各城市均能选出合适的表冷器,并且表冷器出口空气温度在22~ 23℃之间,含湿量与室外空气含湿量几乎相同,说明上述干工况处理过程能够实现。

5)一般新风机组温度传感器设置在出风口,控制出风温度恒定。但对于采用直流式空调系统的厨房,厨房室内发热量是变化的,送风温度也应随之变化,因此应将温度传感器设在室内,控制机组供热供冷水阀的开度,以免发生夏季送冷风时室内发热量过小、室温过低,以及冬季不能保证室温或室温过高等现象。与一般新风机组一样,北方地区还应在加热盘管处设置防冻的温度传感器,采取当盘管温度达下限时自动关闭风机和进风阀并报警等措施。夏季,当室外温度低于房间设计温度取值(30℃) 时,还可以不低于室外温度为原则降低室温控制设定值运行,使厨房工作环境更加舒适。
3 新风机组可承担热湿负荷与室内产热产湿量的比较
3.1新风机组可承担显热负荷和湿负荷面积指标
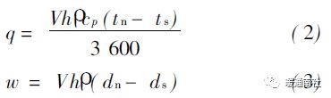
在假设条件下(室内热湿比为8000kJ/kg,送风温度为该热湿比对应的机器露点温度,干燥地区取与湿热地区相同的送风温度),空气处理机组可承担的显热负荷和湿负荷面积指标可以由下式计算:

式(2),(3)中 q 为可承担的显热负荷面积指标,W/m2;V为换气次数,h-1;h 为层高,m,计算时取3m;Q为空气密度,kg/m3,计算时取1.2kg/m3;cp 为空气比定压热容,J/( kg·e );tn为室内设计温度,℃;ts为送风温度,℃;w 为可承担的湿负荷面积指标,g/( m2·h);dn 为室内含湿量设定值,g/kg;ds为送风含湿量,g/kg。由式(2)和(3)计算得到中、西餐热加工间空气处理机组可承担的显热及湿负荷面积指标如表3 所示。

3.2室内产热产湿量的估算和假设
厨房的室内产热主要由三部分构成:灶具发热、人员产热、灯光发热;由于厨房室内设计温度不低于室外通风温度或温差较小,围护结构得热忽略不计。产湿主要由两部分组成:人员产湿、灶具等厨房设备的产湿。
1)人员产热产湿量(假设人员密度为6m2/人)热加工间:室内设定温度为30℃,人员劳动强度定义为中级劳动,人员显热为45 W/人,潜热为190 W/人,全热为235 W/人,产湿量为283g/(人·h);换算为面积指标后,人员产热产湿指标为:显热7.5 W/m2,产湿47.2g/(m2·h)。
配餐间:室内设定温度为26℃,人员劳动强度定义为中级劳动,人员显热为74 W/人,潜热为161 W/人,全热为235 W/人,产湿量为240g/(人·h);换算为面积指标后,人员产热产湿指标为:显热12.3 W/m2,产湿40g/(m2·h)。
2)灯光发热
文献中居住建筑厨房的照明功率密度值为7W/m2,中餐厅的照明功率密度值为13 W/m2,公共厨房的照明功率密度值没有明确规定,保守估计为15W/m2。
3)灶具的产热产湿
假设中餐热加工间灶具产热为160 W/m2,灶具产湿为人员产湿量的2倍,西餐热加工间灶具产热为110W/m2,产湿量为人员产湿量的1.5倍,配餐间没有灶具,假设配餐过程的产湿与人员产湿相同。
配餐间、热加工间室内热湿负荷指标计算结果如表4 所示。
3.3面积热湿负荷指标的比较

对比表3与表4,空气处理机组消除热湿负荷的能力均能满足要求。
室内产热产湿量原则上应根据厨房实际情况调查、计算;但各厨房灶具分布情况不同,即使灶具设置已经确定,仍涉及到厨房工作人员的数量、加工的食物种类和数量、餐厅的经营情况等诸多因素,很难甚至无法计算实际产热产湿量。
因此,本文采用了极粗略的估算和假设,仅力图通过上述的分析与假设,说明2.2 节中室内设计参数及热湿比的假设用于工程的统一设计计算基本合理。
4结论
4.1厨房排风量应根据厨房发热量以及按排气罩计算出的较大值确定,当发热量无法确定时可按排气罩计算或按换气次数估算;为了维持厨房室内为负压,厨房补风量一般为排风量的80% ~90%。
4.2热加工间和配餐等其他房间,以及各灶具宜分别设置排风及补风设备,新风机组的补风量应适应排风量,以保证厨房的设计负压值和风量平衡。
4.3对于冬季需供暖的地区,空调送风只负担新风负荷,送风温度宜取室内供暖设计温度。
4.4厨房新风机组的冷热量控制不同于一般新风机组,应将温度传感器设在室内,控制机组供热、供冷水阀的开度。
4.5当厨房发热量无法确定时,新风机组夏季冷却量的计算是基于/将已确定的送风量处理至通过室内设计状态点的热湿比线的机器露点,即能够消除厨房的散热散湿量0的假设,根据此假设,并考虑直流式空调系统的节能,设计计算推荐采用以下数值:
1)室内夏季设计参数推荐值
室内温度:热加工间30℃、配餐间26℃;相对湿度不大于65%;热湿比假设为8 000kJ/kg。
2)夏季送风温度热加工间为23.2℃,配餐间为19℃。
干热地区夏季新风机组应干工况运行,送风温度与热湿地区相同,送风含湿量等于室外空气含湿量。
网址:【莱温坦伯】公共厨房通风空调设计计算 https://www.yuejiaxmz.com/news/view/1404436
相关内容
公共厨房通风空调设计计算公共厨房通风空调设计计算:节能与舒适并重的新思路
公共厨房的通风设计
公共建筑厨房通风设计
公共建筑厨房通风系统设计
浅谈五星级酒店厨房空调通风系统的设计.doc
厨房通风设计.docx
厨房通风设计指引
厨房通风设计图
某项目厨房通风空调设计探讨

